09.1 多项式回归法拟合正弦曲线
9.1 用多项式回归法拟合正弦曲线⚓︎
9.1.1 多项式回归的概念⚓︎
多项式回归有几种形式:
一元一次线性模型⚓︎
因为只有一项,所以不能称为多项式了。它可以解决单变量的线性回归,我们在第4章学习过相关内容。其模型为:
多元一次多项式⚓︎
多变量的线性回归,我们在第5章学习过相关内容。其模型为:
这里的多变量,是指样本数据的特征值为多个,上式中的 x_1,x_2,...,x_m 代表了m个特征值。
一元多次多项式⚓︎
单变量的非线性回归,比如上面这个正弦曲线的拟合问题,很明显不是线性问题,但是只有一个 x 特征值,所以不满足前两种形式。如何解决这种问题呢?
有一个定理:任意一个函数在一个较小的范围内,都可以用多项式任意逼近。因此在实际工程实践中,有时候可以不管 y 值与 x 值的数学关系究竟是什么,而是强行用回归分析方法进行近似的拟合。
那么如何得到更多的特征值呢?对于只有一个特征值的问题,人们发明了一种聪明的办法,就是把特征值的高次方作为另外的特征值,加入到回归分析中,用公式描述:
上式中x是原有的唯一特征值,x^m 是利用 x 的 m 次方作为额外的特征值,这样就把特征值的数量从 1 个变为 m 个。
换一种表达形式,令:x_1 = x,x_2=x^2,\ldots,x_m=x^m,则:
可以看到公式4和上面的公式2是一样的,所以解决方案也一样。
多元多次多项式⚓︎
多变量的非线性回归,其参数与特征组合繁复,但最终都可以归结为公式2和公式4的形式。
所以,不管是几元几次多项式,我们都可以使用第5章学到的方法来解决。在用代码具体实现之前,我们先学习一些前人总结的经验。先看一个被经常拿出来讲解的例子,如图9-3所示。

图9-3 对有噪音的正弦曲线的拟合
一堆散点,看上去像是一条带有很大噪音的正弦曲线,从左上到右下,分别是1次多项式、2次多项式......10次多项式,其中:
- 第4、5、6、7图是比较理想的拟合
- 第1、2、3图欠拟合,多项式的次数不够高
- 第8、9、10图,多项式次数过高,过拟合了
再看表9-3中多项式的权重值,表示了拟合的结果,标题头的数字表示使用了几次多项式,比如第2列有两个值,表示该多项式的拟合结果是:
表9-3 多项式训练结果的权重值
| 1 | 2 | 3 | 4 | 5 | 6 | 7 | 8 | 9 | 10 |
|---|---|---|---|---|---|---|---|---|---|
| -0.096 | 0.826 | 0.823 | 0.033 | 0.193 | 0.413 | 0.388 | 0.363 | 0.376 | 0.363 |
| -1.84 | -1.82 | 9.68 | 5.03 | -7.21 | -4.50 | 1.61 | -6.46 | 18.39 | |
| -0.017 | -29.80 | -7.17 | 90.05 | 57.84 | -43.49 | 131.77 | -532.78 | ||
| 19.85 | -16.09 | -286.93 | -149.63 | 458.26 | -930.65 | 5669.0 | |||
| 17.98 | 327.00 | 62.56 | -1669.06 | 3731.38 | -29316.1 | ||||
| -123.61 | 111.33 | 2646.22 | -8795.97 | 84982.2 | |||||
| -78.31 | -1920.56 | 11551.86 | -145853 | ||||||
| 526.35 | -7752.23 | 147000 | |||||||
| 2069.6 | -80265.3 | ||||||||
| 18296.6 |
另外,从表9-3中还可以看到,项数越多,权重值越大。这是为什么呢?
在做多项式拟合之前,所有的特征值都会先做归一化,然后再获得x的平方值,三次方值等等。在归一化之后,x的值变成了[0,1]之间,那么x的平方值会比x值要小,x的三次方值会比x的平方值要小。假设x=0.5,x^2=0.25,x^3=0.125,所以次数越高,权重值会越大,特征值与权重值的乘积才会是一个不太小的数,以此来弥补特征值小的问题。
9.1.2 用二次多项式拟合⚓︎
鉴于以上的认知,我们要考虑使用几次的多项式来拟合正弦曲线。在没有什么经验的情况下,可以先试一下二次多项式,即:
数据增强⚓︎
在ch08.train.npz中,读出来的XTrain数组,只包含1列x的原始值,根据公式5,我们需要再增加一列x的平方值,所以代码如下:
file_name = "../../data/ch08.train.npz"
class DataReaderEx(SimpleDataReader):
def Add(self):
X = self.XTrain[:,]**2
self.XTrain = np.hstack((self.XTrain, X))
从SimpleDataReader类中派生出子类DataReaderEx,然后添加Add()方法,先计算XTrain第一列的平方值,放入矩阵X中,然后再把X合并到XTrain右侧,这样XTrain就变成了两列,第一列是x的原始值,第二列是x的平方值。
主程序⚓︎
在主程序中,先加载数据,做数据增强,然后建立一个net,参数num_input=2,对应着XTrain中的两列数据,相当于两个特征值,
if __name__ == '__main__':
dataReader = DataReaderEx(file_name)
dataReader.ReadData()
dataReader.Add()
# net
num_input = 2
num_output = 1
params = HyperParameters(num_input, num_output, eta=0.2, max_epoch=10000, batch_size=10, eps=0.005, net_type=NetType.Fitting)
net = NeuralNet(params)
net.train(dataReader, checkpoint=10)
ShowResult(net, dataReader, params.toString())
运行结果⚓︎
表9-4 二次多项式训练过程与结果
| 损失函数值 | 拟合结果 |
|---|---|
![]() |
![]() |
从表9-4的损失函数曲线上看,没有任何损失值下降的趋势;再看拟合情况,只拟合成了一条直线。这说明二次多项式不能满足要求。以下是最后几行的打印输出:
......
9989 49 0.09410913779071385
9999 49 0.09628814270449357
W= [[-1.72915813]
[-0.16961507]]
B= [[0.98611283]]
对此结论持有怀疑的读者,可以尝试着修改主程序中的各种超参数,比如降低学习率、增加循环次数等,来验证一下这个结论。
9.1.3 用三次多项式拟合⚓︎
三次多项式的公式:
在二次多项式的基础上,把训练数据的再增加一列x的三次方,作为一个新的特征。以下为数据增强代码:
class DataReaderEx(SimpleDataReader):
def Add(self):
X = self.XTrain[:,]**2
self.XTrain = np.hstack((self.XTrain, X))
X = self.XTrain[:,0:1]**3
self.XTrain = np.hstack((self.XTrain, X))
同时不要忘记修改主过程参数中的num_input值:
num_input = 3
再次运行,得到表9-5所示的结果。
表9-5 三次多项式训练过程与结果
| 损失函数值 | 拟合结果 |
|---|---|
![]() |
![]() |
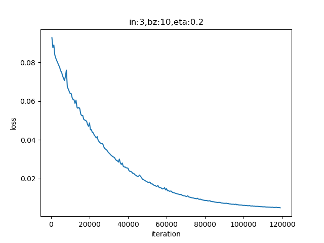
表9-5中左侧图显示损失函数值下降得很平稳,说明网络训练效果还不错。拟合的结果也很令人满意,虽然红色线没有严丝合缝地落在蓝色样本点内,但是这完全是因为训练的次数不够多,有兴趣的读者可以修改超参后做进一步的试验。
以下为打印输出:
......
2369 49 0.0050611643902918856
2379 49 0.004949680631526745
W= [[ 10.49907256]
[-31.06694195]
[ 20.73039288]]
B= [[-0.07999603]]
可以观察到达到0.005的损失值,这个神经网络迭代了2379个epoch。而在二次多项式的试验中,用了10000次的迭代也没有达到要求。
9.1.4 用四次多项式拟合⚓︎
在三次多项式得到比较满意的结果后,我们自然会想知道用四次多项式还会给我们带来惊喜吗?让我们一起试一试。
第一步依然是增加x的4次方作为特征值:
X = self.XTrain[:,0:1]**4
self.XTrain = np.hstack((self.XTrain, X))
第二步设置超参num_input=4,然后训练,得到表9-6的结果。
表9-6 四次多项式训练过程与结果
| 损失函数值 | 拟合结果 |
|---|---|
![]() |
![]() |
......
8279 49 0.00500000873141068
8289 49 0.0049964143635271635
W= [[ 8.78717 ]
[-20.55757649]
[ 1.28964911]
[ 10.88610303]]
B= [[-0.04688634]]
9.1.5 结果比较⚓︎
表9-7 不同项数的多项式拟合结果比较
| 多项式次数 | 迭代数 | 损失函数值 |
|---|---|---|
| 2 | 10000 | 0.095 |
| 3 | 2380 | 0.005 |
| 4 | 8290 | 0.005 |
从表9-7的结果比较中可以得到以下结论:
- 二次多项式的损失值在下降了一定程度后,一直处于平缓期,不再下降,说明网络能力到了一定的限制,直到10000次迭代也没有达到目的;
- 损失值达到0.005时,四项式迭代了8290次,比三次多项式的2380次要多很多,说明四次多项式多出的一个特征值,没有给我们带来什么好处,反而是增加了网络训练的复杂度。
由此可以知道,多项式次数并不是越高越好,对不同的问题,有特定的限制,需要在实践中摸索,并无理论指导。
代码位置⚓︎
ch09, Level1
说明:单层神经网络多项式解决方案都在HelperClass子目录下代码





